반응형
Notice
Recent Posts
Recent Comments
Link
| 일 | 월 | 화 | 수 | 목 | 금 | 토 |
|---|---|---|---|---|---|---|
| 1 | 2 | 3 | ||||
| 4 | 5 | 6 | 7 | 8 | 9 | 10 |
| 11 | 12 | 13 | 14 | 15 | 16 | 17 |
| 18 | 19 | 20 | 21 | 22 | 23 | 24 |
| 25 | 26 | 27 | 28 | 29 | 30 | 31 |
Tags
- C언어
- pycharm
- inorder
- web 용어
- 결합전문기관
- CES 2O21 참가
- html
- discrete_scatter
- vscode
- cudnn
- web
- Keras
- web 개발
- KNeighborsClassifier
- 자료구조
- 재귀함수
- mglearn
- web 사진
- 머신러닝
- bccard
- classification
- broscoding
- postorder
- tensorflow
- 데이터전문기관
- 대이터
- paragraph
- java역사
- CES 2O21 참여
- 웹 용어
Archives
- Today
- Total
bro's coding
numpy.corrcoef 본문
반응형
import numpy as np
import matplotlib.pyplot as plt
from sklearn.datasets import load_breast_cancer
cancer = load_breast_cancer()
X=cancer.data
y=cancer.target
plt.scatter(X[:,0],X[:,2])
plt.axis('equal')

np.corrcoef(X[:,0],X[:,2])
array([[1. , 0.99785528],
[0.99785528, 1. ]])
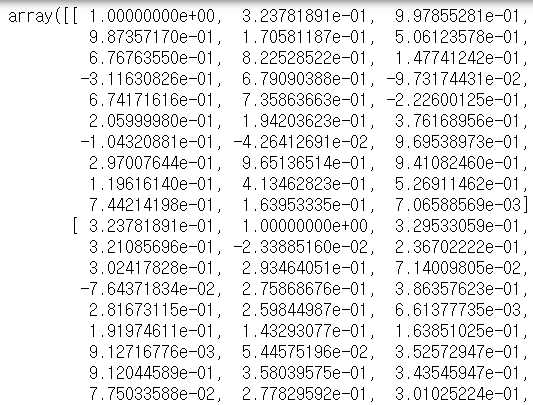
mat=np.corrcoef(X.T)
mat

plt.imshow(mat,vmin=-1,vmax=1,cmap='bwr')
plt.colorbar()

idx = [0, 2, 3, 12, 13, 20, 22, 23, 1, 4, 5, 6, 7, 8, 9, 10, 11, 14, 15, 16, 17, 18, 19, 21, 24, 25, 26, 27, 28, 29]
X2 = X[:,idx]
mat = np.corrcoef(X2.T)
plt.imshow(mat, vmin=-1, vmax=1, cmap='bwr')
plt.xticks(range(30),idx,rotation=90)
plt.yticks(range(30),idx)
plt.colorbar()

반응형
'[IT] > python.numpy' 카테고리의 다른 글
| np.moveaxis (0) | 2020.05.13 |
|---|---|
| numpy.score (0) | 2020.05.12 |
| numpy.where.3단 논법 (0) | 2020.04.23 |
| numpy.브로드캐스팅 (0) | 2020.03.30 |
| numpy.무한대 처리 (0) | 2020.03.30 |
| numpy.스칼라 연산 (1) | 2020.03.30 |
| numpy.file open (0) | 2020.03.27 |
| numpy.reshape(차원 변경) (0) | 2020.03.26 |
Comments