반응형
Notice
Recent Posts
Recent Comments
Link
| 일 | 월 | 화 | 수 | 목 | 금 | 토 |
|---|---|---|---|---|---|---|
| 1 | ||||||
| 2 | 3 | 4 | 5 | 6 | 7 | 8 |
| 9 | 10 | 11 | 12 | 13 | 14 | 15 |
| 16 | 17 | 18 | 19 | 20 | 21 | 22 |
| 23 | 24 | 25 | 26 | 27 | 28 | 29 |
| 30 |
Tags
- web
- classification
- broscoding
- 머신러닝
- C언어
- paragraph
- pycharm
- web 사진
- cudnn
- mglearn
- inorder
- tensorflow
- 결합전문기관
- java역사
- web 개발
- 재귀함수
- Keras
- 웹 용어
- html
- web 용어
- 대이터
- bccard
- 데이터전문기관
- CES 2O21 참여
- vscode
- CES 2O21 참가
- KNeighborsClassifier
- 자료구조
- discrete_scatter
- postorder
Archives
- Today
- Total
bro's coding
sklearn.sigmoid function 본문
반응형

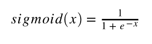
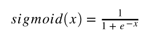
def sigmoid(x):
return 1/(1+np.exp(-x))
xxx=np.arange(-15,15,0.01)
yyy=sigmoid(xxx)
plt.plot(xxx,yyy)
yyy=sigmoid(xxx*0.5)
plt.plot(xxx,yyy)
yyy=sigmoid(xxx*10)
plt.plot(xxx,yyy)

lim(x->inf) =1
lim(x->-inf)=0
lim(x->+-0)=0.5
확률 값을 계산 할 때 사용
신경망에서 가장 중요한 함수
함수의 성격이 매우 중요
p86
반응형
'[AI] > python.sklearn' 카테고리의 다른 글
| 머신러닝.linear_model.LogisticRegression(Class=4)(iris) (0) | 2020.04.13 |
|---|---|
| 머신러닝.LogisticRegression.C option 변화 관찰 (0) | 2020.04.13 |
| sklearn.linear_model.LogisticRegression(Class=3) (0) | 2020.04.13 |
| sklearn.LogisticRegression.predict_proba (0) | 2020.04.13 |
| sklearn.linear_model.LogisticRegression(로지스틱 회귀) (0) | 2020.04.13 |
| sklearn.datasets .make_blobs 사용하기 (0) | 2020.04.13 |
| sklearn.linear regression.다차원(wine)등급 예상하기(정규화) (0) | 2020.04.10 |
| sklearn.linear regression.꽃종류 별 회귀 선 그리기 (0) | 2020.04.10 |
Comments