[IT]/python.numpy
numpy.corrcoef
givemebro
2020. 4. 27. 10:22
반응형
import numpy as np
import matplotlib.pyplot as plt
from sklearn.datasets import load_breast_cancer
cancer = load_breast_cancer()
X=cancer.data
y=cancer.target
plt.scatter(X[:,0],X[:,2])
plt.axis('equal')

np.corrcoef(X[:,0],X[:,2])
array([[1. , 0.99785528],
[0.99785528, 1. ]])
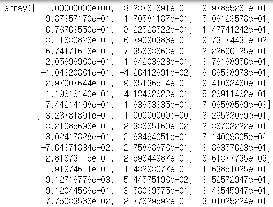
mat=np.corrcoef(X.T)
mat

plt.imshow(mat,vmin=-1,vmax=1,cmap='bwr')
plt.colorbar()

idx = [0, 2, 3, 12, 13, 20, 22, 23, 1, 4, 5, 6, 7, 8, 9, 10, 11, 14, 15, 16, 17, 18, 19, 21, 24, 25, 26, 27, 28, 29]
X2 = X[:,idx]
mat = np.corrcoef(X2.T)
plt.imshow(mat, vmin=-1, vmax=1, cmap='bwr')
plt.xticks(range(30),idx,rotation=90)
plt.yticks(range(30),idx)
plt.colorbar()

반응형